1 Context

Effective science communication can expand the reach of scientific research, thereby encouraging public engagement with science [Bubela et al., 2009], increasing the accessibility of science [Brossard & Scheufele, 2013], and garnering support for conservation and public health issues [Chapman et al., 2015]. Due to its relative popularity with younger age groups, many claim that social media is a beneficial channel for communicating science [Martin & MacDonald, 2020], especially to young people [Ningtyas et al., 2024]. A 2024 survey of young adults in the U.S. revealed widespread use of platforms such as Facebook, Instagram, and YouTube [Gottfried, 2024]. Other global studies demonstrate that the average young person (aged 16–24) spends almost three hours per day on social networks [Kemp, 2025, p. 368], that U.S. teens spend 4.8 hours per day on average on social media [Rothwell, 2023], and that young people spend significantly more time on [Bonsaksen et al., 2024] and are more likely to use social media [Feng et al., 2019] than older generations. Most importantly, young people, specifically students, rely on the internet and social media in particular as their main sources of science information [Calmbach et al., 2024; Hargittai et al., 2018]. Therefore, it is often assumed that the frequent use of social media by scientists in North America and Europe for communicating research [Wiley, 2024] may help reach more young people. Notwithstanding the appeal of this argument, current research on the impacts of communicating science through social media is limited and conflicting.

On the side of risks, there is potential for substantial negative impacts when communicating science through social media, including the spread of misinformation [West & Bergstrom, 2021] and comments that contest scientific information. Young people are especially vulnerable to this risk as they tend to interact with “gratifying” information, which causes them to be more susceptible to believing misinformation [Irwanto et al., 2025]. Social media comments may confuse readers, undermining science communication efforts [Gierth & Bromme, 2020]. Moreover, the rapid spreading and resharing of information through social media risks the loss of important content details, so audiences may misunderstand scientific findings [Hwang et al., 2023]. Finally, social media hinders users by creating an echo chamber effect, specifically for young people relying on information that confirms their expectations [Irwanto et al., 2025], only engaging with information that supports their prior opinions and containing them within polarized groups [Cinelli et al., 2021].

On the other hand, an advantage of social media platforms is that they can potentially help avoid common pitfalls of unsuccessful science communication efforts. A common pitfall to effective science communication is the failure to reach a wide range of audiences [Bubela et al., 2009]. Social media content can transcend both social and physical borders, facilitating access to diverse and distant users. Scientists using social media can converse directly with a range of public audiences [Weingart & Guenther, 2016], and through sustained use over a long period of time can potentially increase trust in specific aspects of science or scientists [Bik et al., 2015]. Finally, the typical features of social media (e.g., visuals, commenting, liking, and private messaging) offer avenues to move from the linear Deficit Model, which assumes that the public’s ignorance about science prevents them from participating in socio-scientific discussions [Brossard & Lewenstein, 2009], to two-way Public Engagement and Dialogue Models of science communication, whereby scientists converse with audiences, overcoming the aforementioned common obstacles to communicating science. However, it should be noted that social media communication by scientists is often a limited type of engagement, which does not necessarily allow for genuine dialogue between scientists and citizens.

Social media’s novelty lies in providing opportunities to reach diverse and wide-ranging audiences and to connect scientists to publics, for the benefit of scientists, publics (especially young audiences), and educational institutions. Social media has the potential to be particularly effective at bringing science to youth who are already using the platforms. Indeed, young adults are just as likely to engage with science content on certain social media platforms as with other serious topics [Hargittai et al., 2018]. Understanding how social media content can positively impact young people’s trust, knowledge, and engagement can help inform future social-media-based science communication efforts. However, it is yet unclear how to maximize the benefits of social media for science communication while mitigating the risks, with research on the impacts and effectiveness of social media remaining fractured and inconsistent.

2 Objective

This study aimed to review and reconcile the existing literature on the impacts of social-media-based science communication on young audiences. Specifically, we asked:

RQ1:

What content, topics, demographics, and research methods have been focused on in studies about communicating science to youth on social media?

RQ2:

What types of impacts do these studies aim to find, and how do they measure them?

RQ3:

What impacts of social-media-based science communication on young audiences have been observed in practice?

3 Methods

The methodology for this scoping review followed the Preferred Reporting Items for Systematic Reviews and Meta-Analyses (PRISMA) Extension for Scoping Reviews [Tricco et al., 2018]. Scoping reviews allow for a thorough analysis of an area of research using few resources and produce a summary of the available research on a topic, identifying gaps in knowledge and creating a comprehensive reference that can be used by scientists and policymakers [Arksey & O’Malley, 2005]. For this research, a scoping review was chosen over a systematic review for its inclusion of a larger range of methods and study designs and investigation of broader questions.

3.1 Data collection

Database search. Five databases were searched in October 2024: Academic Search Complete, ERIC, Web of Science, SCOPUS, and PsycINFO. A search was also performed within eight relevant journals: Journal of Science Communication (JCOM), Science Education, Science Communication, Public Understanding of Science, Research in Science Education, the Journal of Science Education and Technology, International Journal of Science Education, Part A and Part B. The search filters included only peer-reviewed original research or review articles published in English from 2013 onwards. This year was chosen as it followed the establishment of Instagram, currently one of the most popular social media platforms for young adults [Maryville University, 2020] that center around visual affordances. These filters narrowed the results to studies assessing the impacts of social-media-based science communication on platforms most relevant to youth and using visual media, which is shown to be increasingly important for communication [Pearce et al., 2020]. Given that many environmental research communication topics, such as climate change, are the subject of current science communication efforts [Comfort & Park, 2018], we included ‘environmental communication’ as a keyword. We omitted ‘health communication’ as a keyword because the number of studies focused on clinical health and medical advice this keyword search elicits far outweighs the number of studies focused on engaging audiences with health-related research topics. The latter studies, which are in scope of this review, were identified through searches focused on science communication. The keywords were: (‘science communication’ OR ‘environmental communication’ OR ‘science education’) AND (‘social media’ OR ‘social platforms’ OR ‘digital media’ OR multimedia OR visual) AND (‘young audience’ OR youth OR child* OR young OR adolescen*) AND (impact* OR outcome* OR evaluat* OR measur* OR engag*).

Article selection and criteria. Before duplicate removal, the combined searches provided 2,257 articles. Title, authors, publication year, journal title, DOI, keywords, and abstract of the articles were exported to Excel. Duplicates were removed manually. The remaining 2,011 articles underwent an initial manual screening process using the inclusion criteria, in which only titles and abstracts were considered. A second reviewer also manually screened a random sample of 400 of these articles, after which our agreement rate was low. We therefore revised the inclusion criteria together such that criterion five included articles that studied young ages even if only partially, criterion six described in more detail the types of impacts of interest to us, and criterion 11 excluded articles that focused on virtual and immersive media, which do not exist on social media. Following this revision, the first and second authors again independently screened a random sample of 10% of the articles. Cohen’s kappa for inter-coder reliability indicated almost perfect agreement between the screeners, κ = .954 (95% CI, .864 to .090), p <.001 [Landis & Koch, 1977]. According to the following criteria, an article was included if it:

  1. Was peer-reviewed

  2. Was published between 1 January 2013 and 31 October 2024

  3. Was empirical research or a review (not theoretical)

  4. Was published in English

  5. Included young audiences (ages 13–24)

  6. Strongly focused on the impact/effect of viewing or interacting with social media posts rather than the impact/effect of creating content (or no impact at all)

  7. Strongly focused on social media

  8. Strongly focused on science/environmental/health-related social media posts

  9. Focused on free-choice learning but not place-based (i.e., not requiring the learner to be present in-person at a specific location)

  10. Focused on communicating scientific information, not expanding the reach of scientific articles

  11. Did not focus on immersive media (e.g., virtual reality)

For example, Gustafsson’s 2024 article entitled “Is science to be trusted? How environmentally active youths relate to science in social media” was included based on its title and abstract but excluded in the second screening because, although it focused on the use of Facebook for science communication among young people, it did not evaluate the impact or effect of Facebook posts on its users (criterion six).

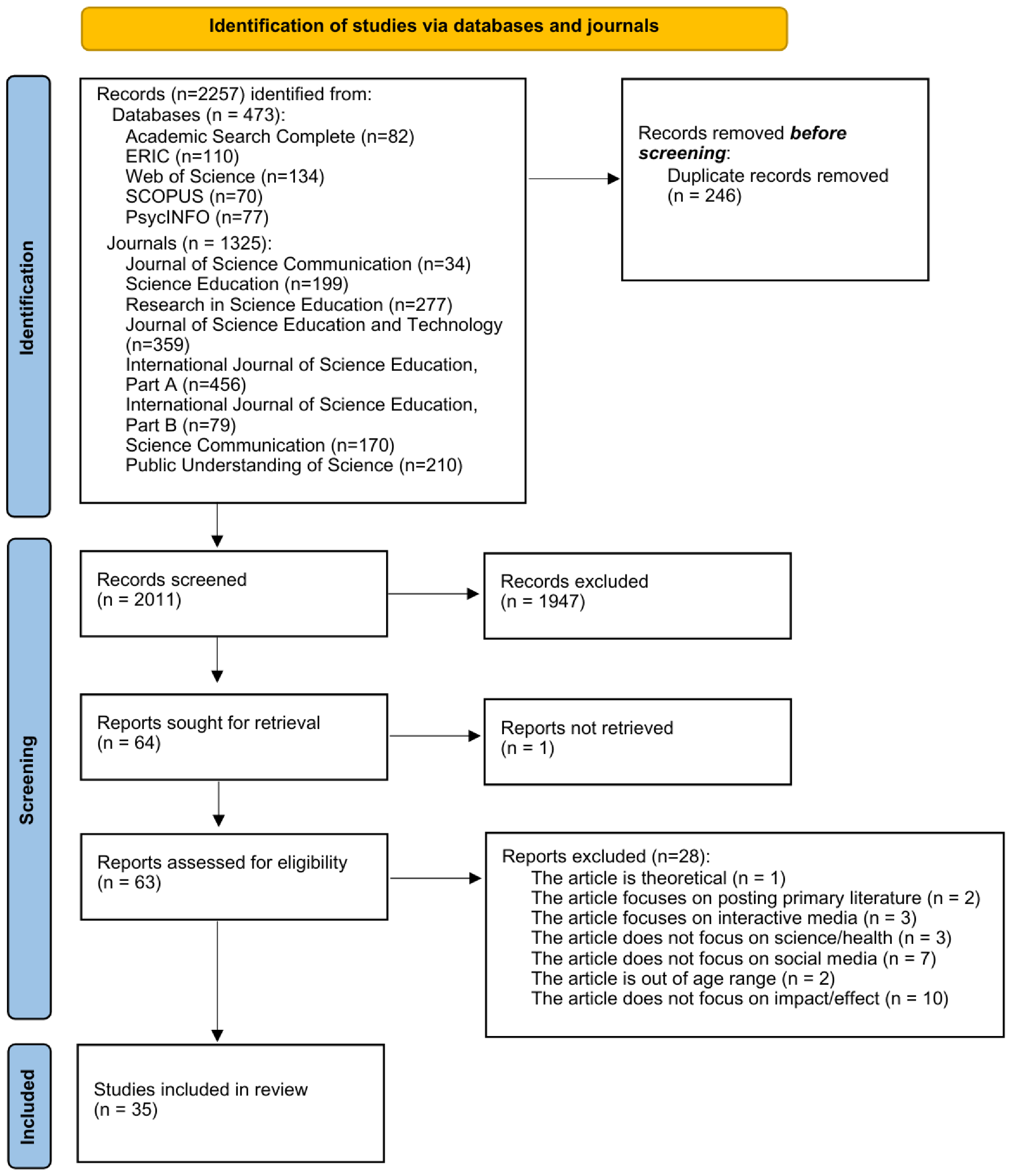
After the initial screening, the full text of the remaining 63 articles was screened according to the same inclusion criteria. After this second screening, 35 articles remained for analysis (Figure 1).

PIC

Figure 1: Articles included and excluded at each stage of the screening process, according to the PRISMA framework.

3.2 Data collection limitations

Several issues limit the comprehensiveness of this review. First, our initial intent was to include only articles strictly focusing on youth, an age group highly influenced by and most present on social media [Gottfried, 2024]. Ultimately, however, we chose to also include articles that only partially studied this age range, as many articles did not specify sample age or assumed a young age group based on the known users of a particular platform. In choosing between narrowing our focus to a very small sample of youth-only papers or extracting insights from mixed-aged studies to inform youth-specific conclusions, we chose the latter. However, this limits the specificity of our results regarding young people.

3.3 Data analysis

Content analysis. Directed (deductive) qualitative content analysis (QCA) was used to identify themes and patterns in data and categorize them [Elo & Kyngäs, 2008], beginning with an established coding framework and combining pre-determined categories with categories found through data collection [Kibiswa, 2019]. Here, directed QCA was used to develop a codebook and categorize the data from the analyzed articles. Coding scheme. General information about each study was coded into 11 content categories and three bibliographical categories. The content of a single study could belong to more than one code or subcategory. The content categories included:

  1. Visualization type: nonvisual (text), photo, video, GIF, and live session.

  2. Social media platform(s): Twitter/X, Facebook, YouTube, Instagram, Snapchat, Weibo, and TikTok.

  3. Sample age: categorized as ranges 13–18, 19–24, 13–24, 25+, or Not Available (NA).

  4. Sample gender distribution: mostly male, mostly female, equal, or NA.

  5. Sample country: the country in which the study took place, or where participants indicated they were from.

  6. Study context: formal (e.g., where social media participation was part of a classroom assignment) or free choice (where participants completed a survey or interview of their own accord).

  7. Content producer: researchers (content was created for the study or already present on social media), none (content was from multiple sources already present on social media), teachers, companies, or students.

  8. Scientific subject: environment, none (general science), health, biology, entomology, chemistry, paleontology, geology, thermal imaging, neuroscience, technology, and physics.

  9. Time of outcome measurement: the length of time between viewing the social media item and impact measurement, coded as immediate (same day), short-term (over 1 day and up to 3 months), or long-term (over 3 months).

  10. Data collection method: exam grades, feedback sessions, focus groups, group interviews, individual interviews, observations, online engagement, oral questionnaires, self-report online questionnaires, and written questionnaires.

  11. Research design and data analysis: case study, content analysis (qualitative), control group, descriptive statistics (quantitative), pre/post comparison, and statistical analysis (quantitative).

  12. Bibliographical categories: year(s) of data collection, year of publication, and categorization of the paper as a review or empirical study.

Impact coding framework. To study impact types in social media scholarship, desired (stated in the hypotheses or research questions as the goal or expected outcome), measured, and observed impacts were coded based on a framework developed by Dubovi and Tabak [2021]. The framework applies established research on engagement to a social media context, dividing impact into three types of engagement: behavioral, emotional, and cognitive (Table 1). In the current study, we focused on:

  1. Behavioral engagement. In the original framework, behavioral engagement on social media included liking, commenting, and sharing. However, in our context, only commenting was considered a behavioral impact, while liking and sharing were used only as measurement forms of interest as these actions are more passive. The behavioral impacts we coded were concrete actions, i.e., a behavioral change, or interactions [Khan, 2017] likely resulting from viewing and interacting with a social media item (see Table 1).

  2. Attitudinal engagement. Emotional engagement involves expressing positive or negative attitudes. Here, for clarity, this type of engagement was renamed as the focus was on six types of attitudinal reactions: increased or decreased trust, including perceiving (a) science or (b) scientists as credible; changes in values, including (c) acknowledging the importance of science to society or (d) social media for science communication, (e) interest, and (f) emotional.

  3. Cognitive engagement. We considered the content of posts, comments, survey responses, or verbal discussions to demonstrate increased knowledge or awareness of a scientific fact or topic.

PIC
Table 1: Categories for coding desired, measured, and observed impacts resulting from social-media-based science communication. Examples are extracted from the articles reviewed.

Validation of the codebook and coding. The desired, measured, and observed impacts in the 35 articles were coded by the lead author based on the codebook. A second reviewer then coded the articles independently. Categories were renamed or redefined following an iterative process of discussion between the lead author and the reviewer, and inconsistencies between the first and second reviewers’ coded impacts were discussed until an agreement was reached [Graneheim & Lundman, 2004].

4 Results

4.1 RQ1: The content, topics, demographics, and research methods that have been the focus of studies about communicating science to youth on social media

Study characteristics. We analyzed 35 empirical articles published in 22 journals, coding them by 11 content categories (see Appendix B and Table 2) and three bibliographical categories. Most articles studied a combination of younger and older audiences. The platforms they focused on were well-established. The articles were published between 2013 and 2024, with almost a third published in 2022. The articles that reported the year of data collection collected data between 2008 and 2022. These 35 papers did not create a coherent body of literature as they mostly ignored each other; only seven referenced another paper in the sample, and only three papers [Hargittai et al., 2018; Yeo et al., 2020, 2021] were referenced by more than one other paper participating in this review.

PIC
Table 2: Characteristics of 35 articles reporting science communication on social media targeting youth, categorized by 11 different content, topic, demographic, and research method categories. Categorizations of least common, most common, and medium frequency were determined within each category, not relative to other categories.

Only a third of the articles focused solely on youth in the pre-determined age range (n = 10). The study samples mainly consisted of females, aged 25 and over, and residing in the United States and Germany (n = 33). Most articles studied text and photos on YouTube, Facebook, and Twitter (n = 30). Topic-wise, the studies primarily focused on health (n = 12) or the environment (n = 7), and some focused on more niche topics like paleontology (n = 1) and geology (n = 1). Most of the papers studied only immediate impacts of social media (n = 21). The most common data collection tools used were self-report online questionnaires (n = 21) and online engagement tools, such as likes, comments, and shares (n = 10). Additional results can be found in Table 2.

4.2 RQ2: Types of impacts the studies aim to find and how they are measured

For each study, we used the impact coding framework described in the methods to code the desired (i.e., impacts stated in the objectives, research questions, or hypotheses of the studies), measured, and observed impacts. For the full analysis, see Appendix C and Figure 2. Most of the studies desired the impacts of ‘knowledge’, ‘trust in science’, ‘interest’, and ‘action’, and measured these impacts in addition to ‘emotion’. However, the desired and measured impacts were not always aligned within a given study.

PIC

Figure 2: Impacts desired, measured, and observed in the 35 papers. Colors correspond to color coding in Table 1. Numbers in parentheses represent the number of papers for which that impact was mentioned. The numbers between impacts correspond to the specific article (Appendix A). A solid line indicates that a paper desired and measured or measured and observed a given impact. A dashed line indicates that a paper desired but did not measure, measured but not desire, or observed but did not measure an impact.

Desired impacts. The most desired impacts were ‘knowledge’, i.e., gaining knowledge about a scientific topic or field, ‘trust in science’, i.e., trusting that scientific information is factual and accurate; the ability to assess source credibility, and ‘interest’, i.e., expressing interest in learning more about a topic or immersing oneself in a scientific field. In most studies, ‘knowledge’ was conceptualized as an increase in knowledge or learning [Fischer et al., 2023; Greenhow & Lewin, 2016; Kulgemeyer et al., 2022; Rap & Blonder, 2016; Serpagli & Mensah, 2021]. Other studies identified use of the internet (particularly social media) as a source of science information [Hargittai et al., 2018] or for “understanding” scientific concepts [Shriver-Rice et al., 2022] as impacts of ‘knowledge’. ‘Trust in science’ was conceptualized as perceived truthfulness [Shriver-Rice et al., 2022], credibility [König & Breves, 2021; Kresin et al., 2024; Michalovich & Hershkovitz, 2020], or trustworthiness [Ruzi et al., 2021] of scientific information on social media. Additionally, studies desired “message discounting” [Yuan & Lu, 2022], and the ability to recognize “manipulation techniques” [Belova et al., 2022] or “misleading content” [Belova & Krause, 2023]. Desired impacts of ‘interest’ included career interest [Lessard et al., 2017], motivation to follow and react to science on social media [Ali et al., 2019; Xu et al., 2018; Yeo et al., 2021, 2023], and stimulation of interest in Earth science topics through YouTube [Wang et al., 2022]. Other desired impacts were ‘interaction’, i.e., commenting, participating in dialogue, or working with peers; ‘action’, i.e., resulting in a concrete behavior change or topic-specific action, such as pro-environmental, health-related, or food-safety-related behavior; ‘emotional’ response, i.e., exhibiting or resonating with an emotion as a reaction; and ‘trust in scientists’, i.e., trusting that scientists are reliable and credible (not to be confused with ‘trust in science’); in some cases, conceptualizations of ‘knowledge’ and ‘interaction’ overlapped [e.g., “knowledge-sharing”, Greenhow & Lewin, 2016; or “learning interaction”, Rap & Blonder, 2016], and were categorized as both ‘knowledge’ and ‘interaction’. Conceptualizations of ‘interaction’ also included “collaborating on Facebook” [Dohn & Dohn, 2017], “connect[ing] with researchers… to support collaboration” [Lessard et al., 2017], and social media engagement [e.g., “clicking and commenting on content”, Hargittai et al., 2018] [Ali et al., 2019; Fortner et al., 2022; Lundgren et al., 2022; Xu et al., 2018]. ‘Action’ was conceptualized as changes in food safety behavior [James et al., 2013; Mou & Lin, 2014], pro-environmental behavior [Fischer et al., 2023], “participation in civic action challenges” [Greenhow & Lewin, 2016], and behavioral or activism intentions regarding health or the environment [König & Breves, 2021; Oh et al., 2023; Yuan & Lu, 2022]. ‘Emotional’ impacts were conceptualized as enjoyment [Ruzi et al., 2021], psychological response [Yuan & Lu, 2022], emotional persuasiveness of videos [Shriver-Rice et al., 2022], or “experience of mirth” [Yeo et al., 2020, 2021, 2023]. ‘Trust in scientists’ was conceptualized similarly to (and often in the same studies as) ‘trust in science’, highlighting perceived credibility [Agley et al., 2023; Bode et al., 2021; König & Breves, 2021; Kresin et al., 2024] or trustworthiness [Ruzi et al., 2021] of a scientist as an information source.

The desired impacts least mentioned were ‘awareness’, i.e., gaining awareness of a scientific topic or issue and/or its importance; ‘valuing science’, i.e., understanding that science is valuable to society; or ‘valuing social media’, i.e., believing that teachers, researchers, and the public should use social media for science communication. ‘Awareness’ was conceptualized as awareness of a food safety campaign [James et al., 2013] and food safety incidents [Mou & Lin, 2014], recognition of “social paleontology” [Lundgren et al., 2022], and “environmental consciousness” [Fischer et al., 2023]. ‘Valuing science’ was conceptualized as attitudes towards food safety practices [James et al., 2013], “respect… for biodiversity” [Lessard et al., 2017], and “attitudes toward and funding of basic science research and museum collections” [Ruzi et al., 2021]. ‘Valuing social media’ included recognizing social media’s “potential… in the science classroom” [Serpagli & Mensah, 2021] and introducing it “to the scientific community an innovative method of communicating science” [Bermudez-Garcia, 2022].

Measured impacts. The most frequently measured impacts were ‘knowledge’, followed by ‘interest’, ‘trust in science’, and ‘emotional’. Measurements of ‘knowledge’ included observations of learning discourse on Facebook [Rap & Blonder, 2016], tests [Kulgemeyer et al., 2022], and self-reported knowledge [James et al., 2013]. ‘Interest’ was measured through interviews [Dohn & Dohn, 2017], observation of students’ “ongoing conversation” [Serpagli & Mensah, 2021], self-reported motivation “to follow more science on social media” [Yeo et al., 2021], the number of views on a news video [Wang et al., 2022], and intentions to comment on or like a humorous Tweet [Yeo et al., 2020; Zhang & Lu, 2022]. ‘Trust in science’ measurements included self-reported agreement with video presenters’ points [Yuan & Lu, 2022], considering a video about sea-level rise to be “truthful” [Shriver-Rice et al., 2022], and credibility assessments of social media posts [Agley et al., 2023; Belova et al., 2022; Kresin et al., 2024]. ‘Emotional’ response was measured through self-reported enjoyment of a video [Ruzi et al., 2021], worry about the effect of sea-level rise [Shriver-Rice et al., 2022], and surprise about a TikTok message [Oh et al., 2023]. Other measured impacts were ‘action’, ‘interaction’, and ‘trust in scientists’. For ‘action’, studies measured self-reported food safety [Bode et al., 2021; James et al., 2013; Mou & Lin, 2014], vaccine-related [Oh et al., 2023; Yuan & Lu, 2022], and pro-environmental behaviors [Fischer et al., 2023], as well as participation in activities that “address environmental issues” [Greenhow & Lewin, 2016], and self-reported willingness to share or read “health advice” [König & Breves, 2021]. ‘Interaction’ measurement included posting articles and “participation in civic action challenges” [Greenhow & Lewin, 2016], social media discourse [Dohn & Dohn, 2017; Rap & Blonder, 2016], sharing or commenting on social media posts [Ali et al., 2019; Hargittai et al., 2018; Lundgren et al., 2022; Xu et al., 2018], use of direct messaging [Serpagli & Mensah, 2021], “meaningful” commenting [Wang et al., 2022], and engagement with scientists [Fortner et al., 2022]. ‘Trust in scientists’ was measured through self-reported perceptions of scientists [Ruzi et al., 2021], sometimes referring to specific traits such as perceived authenticity [Stamer et al., 2021], expertise, benevolence, and likability [Yeo et al., 2021], and perceived credibility of a source about climate change [Belova & Krause, 2023] or health [Agley et al., 2023; Bode et al., 2021].

The least frequently measured impacts were ‘awareness’, ‘valuing social media’, and ‘valuing science’. All three were measured through self-reports.

Alignment between desired, measured, and observed impacts. In over half the articles, the impacts desired, measured, and observed were inconsistent within a single paper (Figure 2): eight papers stated an impact as desired but did not effectively measure it, and 13 papers observed impacts that were not stated as desired. For example, Lundgren et al. [2022] mention in their introduction an “intention to promote social paleontology” (coded as a desired value of science) but effectively measured how individuals “interact with content” (coded as a measured interaction). The impacts that were most consistent within papers (i.e., only one paper desired but failed to measure or observe the impact) were ‘action’, ‘interaction’, ‘trust in science’, and ‘emotional’. In five articles, ‘interest’ was observed but not desired or measured. None of the impacts were consistently desired, measured, and observed in all papers they were discussed in.

4.3 RQ3: The impacts of social-media-based science communication on young audiences

The most observed impacts were heightened interest in science, both positive and negative changes in trust in science, and an increase in knowledge. Specific examples of observed impacts in each paper are listed in Appendix C.

Behavioral outcomes ‘Action’: social-media-based science communication positively influenced behavior. For example, food safety behaviors improved more with social media than non-social media campaigns [James et al., 2013] and pro-environmental behaviors increased among Facebook group members [Greenhow & Lewin, 2016]. ‘Interaction’: social media facilitated interactions between various groups. For example, observing others’ behavior in Facebook groups influenced behavioral changes [Greenhow & Lewin, 2016]. In formal educational settings, the use of social media increased class interaction [Dohn & Dohn, 2017; Rap & Blonder, 2016; Serpagli & Mensah, 2021].

Attitudinal outcomes ‘Trust in science’: different attributes of social media posts about science were found to affect trust in science. Generally speaking, young audiences trust science on social media more than older groups. They also consider a post with coherence, inclusion of facts [Belova et al., 2022; Kresin et al., 2024; Michalovich & Hershkovitz, 2020; Xu et al., 2018], higher design quality, emotionalization, graphs, and lowercase text (vs. all caps) to be more trustworthy [Belova & Krause, 2023; König & Breves, 2021]. ‘Trust in scientists’: studies reported that the ability to interact directly with scientists on social media helped improve trust in and perceptions of scientists. For example, videos posted to social media helped young people learn more about scientists’ activities, thus diversifying stereotypical perceptions of scientists [Stamer et al., 2021]. Direct interaction with scientists on social media and access to their profiles impacted user perceptions of their expertise, integrity, and benevolence. For example, a communicator who was labeled as a scientist on social media was believed to have more expertise than a communicator labeled as a politician [König & Breves, 2021] and scientists who revealed personal details on social media were considered more trustworthy [Ruzi et al., 2021]. There is also a connection between perceptions of scientists on social media and trust in science since the most common information credibility assessment strategy on social media is to check the account holder’s academic title, verification, and familiarity [Belova et al., 2022; Kresin et al., 2024; Xu et al., 2018].

‘Valuing science’ and ‘social media’: social media use increased young people’s value of social-media-based science communication. For example, students supported the integration of social media in the classroom [Belova et al., 2022; Serpagli & Mensah, 2021].

‘Interest’: topic-framing and relevance impacted interest in science on social media. For example, news-style videos, timeliness of content, types of humor, fear-arousing sensationalism, and socio-scientific issues all increase interest [Ali et al., 2019; Dohn & Dohn, 2017; Wang et al., 2022; Yeo et al., 2023].

‘Emotional’: social media posts that elicited emotions like fear, hope, and mirth (e.g., environmental and conservation issues) led to impacts in other categories (i.e., ‘action’, ‘trust in science’, and ‘valuing science’) [Fischer et al., 2023; Shriver-Rice et al., 2022; Yeo et al., 2020, 2023].

Cognitive outcomes ‘Knowledge’: social-media-based science communication increased learning and knowledge gains for young people [Fischer et al., 2023], especially on a platform that was already familiar to them [Serpagli & Mensah, 2021]. However, Kulgemeyer et al. [2022] found no significant increase in knowledge from a video compared to text. ‘Awareness’: social-media-based science communication increased awareness of general science topics [Fischer et al., 2023] and particular science-informed practices, such as safe whale watching procedures [Finkler et al., 2019]. Specifically, social media aided in promoting museum collections, research, and food safety [James et al., 2013; Lessard et al., 2017].

5 Discussion

5.1 Aligning research with the right samples: studying youth where they are

Many researchers have highlighted the importance of communicating science to young audiences through social media platforms [Calmbach et al., 2024; Hargittai et al., 2018; Huber et al., 2017]. Therefore, the relative scarcity of research focusing on the impacts of social-media-based science communication on young people that falls within our criteria (focusing on peer-reviewed articles published in English after 2013) and keywords (including papers focused on social media, science communication, young people, and impacts) is surprising (Table 2). Our findings indicate that most sample populations studied in the context of social media do not include young age groups, even though scientists increasingly claim that social media should be used to inspire the next generation of scientists, improve decision making, and reach diverse audiences [Jarreau, n.d.; ‘Social media: good or evil?’, 2022]. Furthermore, the analysis reveals that the platforms chosen to study the impacts of social-media-based science communication are mainly Facebook, YouTube, and Twitter, catering to older age groups [Dixon, 2025b, 2025c]. This is possibly due to these social media platforms being more established, launched in 2004, 2005, and 2006, respectively [Maryville University, 2020]. However, many younger people currently use newer platforms, such as Instagram and TikTok, which are less studied. Also, the focus on non-visuals (text) and photos as visualization types is likely due to these being the earliest content types (as features on Facebook and Twitter). Twelve papers studying social-media-based science communication chose health as a scientific topic, four of which looked at COVID-19 in particular. While insights from COVID-19 studies may be less generalizable to curiosity-driven science communication efforts, they could shed light on authentic cases of public engagement with relevant science on social media. Interestingly, there was a scarcity of research on the impacts of environmental science communication on social media — only seven papers were found in our analysis. This is despite environmental issues being a current relevant topic in social media engagement [Comfort & Park, 2018]. Future studies could explore the use of Instagram and TikTok, with 78% and 68% usage, respectively, among the young population [Gottfried, 2024], and focus on commonly used visualization types such as video and socio-scientific topics as they become relevant.

Other demographic characteristics of interest are gender and nationality. The inclusion of more female audiences is notable because there are more male social media users than female [Dixon, 2025a]. This focus on females could be due to a higher female presence on a particular platform or more willingness among females to participate in studies. Also, U.S. and German (and more generally, the global North) audiences were overrepresented in the review. This was potentially due to the inclusion of only articles published in English, of which the U.S. is a primary source, and Germany being the country with the fifth highest number of academic publications and the highest number of co-authored studies on the topic of science communication between 2000 and 2022 [Ishmuradova et al., 2023]. Little to no research was found about the use of social media for science communication in Africa and developing countries, which may be explained by western-dominated concepts that drive science communication research, and language and cultural barriers [Massarani et al., 2023; Rasekoala, 2022]. Future research could better align the audiences, topics, and platforms studied with research goals and knowledge gaps to inform future social-media-based science communication efforts and examine the generalizability of existing results to additional contexts and geographic locations.

5.2 Suggested explanations for the misalignment between desired, measured, and observed impacts in the papers

Inconsistency between desired, measured, and observed impacts in the papers raises concerns over research validity. We acknowledge that the measurement of abstract impacts, such as ‘valuing science’, may have been more difficult to isolate. Also, a lack of validated measurement tools, especially for newer platforms, may make it difficult to accurately assess impacts or may lead to inconsistent results between studies. Furthermore, many of the studies relied on self-reports; therefore, it is possible that these results were unreliable and did not reflect true impacts. Another explanation is that positive publication bias may cause some authors to omit impacts if results were negative or deemed uninteresting.

5.3 How can social-media-based science communication effectively create an impact on young people?

Here we ask how the demonstrated impacts of social-media-based science communication discussed in the previous sections were achieved. Specifically, this section reviews the attributes of social-media-based science communication that help create each type of impact, based both on the articles studied in this scoping review and other literature about social-media-based science communication within a wider context.

Behavioral. Of the 18 papers that observed behavioral impacts, 17 found that social-media-based science communication increased positive behaviors, supporting the influence of social-media-based science communication on behavior and revealing social media’s extensive interactive impacts, from joint pro-environmental changes to increased scientific conversation. These results concur with findings of other studies where behavior was influenced through online social interaction; similarly to the finding that humor influenced activism intentions [Yeo et al., 2021], other literature found that humor on social media encouraged commenting [Cacciatore et al., 2024]. The analysis demonstrated that social media led young people to seek interaction with like-minded people, like other research (a review article not focused on a specific age group) indicating that internet users mimic the behaviors of those they admire [Bergman et al., 2022]. However, the overall positive impact of social-media-based science communication on action found in these papers should be considered along with other literature focused on all ages, which shows that social media posts must include meaningful action steps to effectively influence behavior [Lundgaard et al., 2024]. Attitudinal. Of the 29 articles that found attitudinal impacts of social-media-based science communication, 25 found at least one kind of positive impact (e.g., ‘trust’, ‘interest’), while two found a negative impact. In seven cases, papers found non-significant impacts on specific measured attitudes. These articles indicate a wide range of positive attitudinal effects and methods of achieving them, as well as several negative impacts. However, many of these findings are not aligned with research studying similar questions in other age groups or communication contexts. Here, we discuss these findings in light of the broader literature on communicating science on social media. Previous studies reported a positive correlation between time spent on the internet and positive attitudes toward science [Dudo et al., 2011]. Other literature focusing on all age groups in 20 countries has similarly found a positive relationship between the use of social media for news consumption and trust in science [Huber et al., 2019]. The studies reviewed here highlight additional features associated with increasing young readers’ trust in science on social media. Posts from reputable organizations and sources (e.g., well-known scientists, academic titles, and verified accounts), as well as posts that include visually appealing designs, graphs, facts, and cited sources, increase young people’s perceived trustworthiness of the scientific information in posts [Belova & Krause, 2023; König & Breves, 2021].

In our review, social-media-based science communication also improved perceptions of scientists by presenting videos of scientists in their work [Stamer et al., 2021] and facilitating personal and direct interaction with scientists [Ruzi et al., 2021]. This may counter the often-negative perceptions of scientists (i.e., perceived as being superior, socially awkward, and cold), which are reported in surveys of Americans [Tyson & Kennedy, 2024]. In our review, when communicators were labeled as scientists rather than politicians, they were considered to have more expertise [König & Breves, 2021]. In contrast, other studies found that when scientists offer a political disclosure on social media (e.g., advocating for political policy decisions), their perceived competence by Twitter users increases [Kim et al., 2024]. Also, more generally, research comparing traditional media to online/social media shows that more frequent online/social media consumption is negatively associated with the perceived authenticity and integrity of scientists [Schug et al., 2024].

Studies reviewed here propose ways in which social-media-based science communication may support young people’s perceived value of science. They show that social media engagement can promote the value of museums [Lessard et al., 2017] and encountering a conservation-related story on social media can impact users’ values [Fischer et al., 2023], adding a potential mechanism to the correlation found in Dudo et al. [2011].

Likewise, several aspects were shown to increase interest in science-related communication: relevance [i.e., framing as news, human stories, or socio-scientific issues, Dohn & Dohn, 2017; Wang et al., 2022], emotional appeal [Belova & Krause, 2023] of social media posts, and posts that were about females, a specific ethnicity, and young sources [Fortner et al., 2022]. In addition, in a review article that did not specify age, Schreiner et al. [2021] found that the post topic, entertainment value, text length, and potential for interactivity impact interest and engagement. These aspects should be assessed in future studies to understand their applicability to younger age groups.

Social-media-based science communication can elicit emotional responses from users like surprise [Oh et al., 2023], likability [Yeo et al., 2021], and psychological reaction [Yuan & Lu, 2022]. Similarly, other studies focusing on all ages demonstrate that video posts on environmental issues elicit comments of fear, leading to negative emotions [Ziyada & Shamoi, 2024], while Schreiner et al. [2021] observed a positive emotional response to the use of humor in videos. Future research should investigate the significance of eliciting emotion in young people through social-media-based science communication.

Cognitive. Most articles we reviewed found positive cognitive impacts (13 out of 14 reporting cognitive impacts) [e.g., Fischer et al., 2023; Serpagli & Mensah, 2021]. These findings are confirmed by other research focusing on all ages, demonstrating that online science news sources increase scientific knowledge [Su et al., 2015], particularly among less educated groups [Cacciatore et al., 2014] and those who discuss science less often [Anderson et al., 2021]. The articles reviewed here reveal that awareness of scientific topics and issues increased with science-related social media interaction [Fischer et al., 2023; James et al., 2013; Lessard et al., 2017]. Our findings also extend findings in other literature focusing on all ages, where Facebook use increased awareness of gene-editing science [Mueller-Herbst et al., 2020], suggesting that a range of social media platforms may be utilized to foster awareness of various scientific topics. Our results in the context of existing frameworks. While this study focused on the impact created by social-media-based science communication, understanding how the results align with established goals of science communication efforts and known outcomes places our findings within the context of existing research. A 2024 analysis of over 100 physical and online science communication projects targeting diverse age groups categorized the projects’ indirect outcomes as having cognitive, emotional, attitudinal, or behavioral effects on participants [Volk, 2024]. More specifically, most of these projects report at least one of the following outcomes: increased interest, emotional effects, behavioral intentions, or changes in attitudes. Still, there was often a discrepancy between the expected outcomes of these projects and their actual outcomes, with fewer outcomes being observed than their creators had hoped for. Furthermore, the long-term impacts of such projects are rarely discussed [Volk, 2024]. The results of our study corroborate Volk’s analysis, finding similar categories of impacts of social-media-based science communication and a gap between desired and measured or observed outcomes, with the majority of papers focusing on immediate effects of social-media-based science communication rather than long-term changes. Further research on social-media-based science communication should evaluate science communication efforts using the cognitive, emotional, attitudinal, and behavioral categories described here and focus on longer-term impacts of social-media-based science communication projects to understand the value of such efforts on a larger scale.

5.4 Evidence-backed strategies for effectively communicating science on social media

Strategies for creating impact. Content that is relevant to young audiences, specifically of the kind that is presented as news, human stories, or in the context of socio-scientific issues, is more impactful [Dohn & Dohn, 2017; Shriver-Rice et al., 2022; Wang et al., 2022]. Using emotion or entertainment in posts makes them more engaging [Belova & Krause, 2023; Lessard et al., 2017; Shriver-Rice et al., 2022]. Behavior can be impacted by interaction with others who are also changing their behavior [Greenhow & Lewin, 2016]. Trust as a basis for effective communication. Young people are more trusting of reputable sources, including well-known scientists and organizations [Belova et al., 2022; König & Breves, 2021; Kresin et al., 2024; Shriver-Rice et al., 2022]. However, if content is presented with emotionalization [Shriver-Rice et al., 2022], attractive designs, graphs [Belova & Krause, 2023], facts, and cited sources [Kresin et al., 2024], youth are likely to trust the content, whether it is factual or not. Science communicators should ensure their posts include characteristics that make them trustworthy, while also combating misinformation. Social media use in the classroom. Social media is effective both for quick updates about science-related events and classroom assignments [Lessard et al., 2017; Serpagli & Mensah, 2021]. Additionally, social media helps increase test review and class participation, as young users are familiar with and comfortable on the platform [Serpagli & Mensah, 2021].

5.5 Challenges to the generalizability of social-media-based science communication

Several constraints may limit the generalizability of findings in the studies reviewed. Most importantly, each social media platform is diverse in its features, audience, and popularity. Platform popularity among audiences differs, and various topics are more or less visible on each platform at different times, possibly creating unique engagement patterns [Holliman, 2010; Lundgaard et al., 2024]. Therefore, results pertaining to one platform cannot necessarily be generalized to apply to others [Bermudez-Garcia, 2022; Rap & Blonder, 2016; Serpagli & Mensah, 2021].

Second, research settings do not always reflect real-world conditions. Many researchers noted that participants asked to evaluate social media posts or accounts in the context of scientific research will be more critical of and attentive to the content than when they are scrolling mindlessly on platforms [Belova et al., 2022; Kresin et al., 2024; Michalovich & Hershkovitz, 2020; Yeo et al., 2021; Zhang & Lu, 2022]. Thus, actual credibility assessments when using social media day-to-day may fall short of assessments performed in a research context. This is corroborated by Wang et al. [2024], who found that people cannot identify manipulative emotional language on a real social media feed, even after being trained to do so. Similarly, the findings of studies in formal settings, including those that investigated the use of social media as a classroom tool, cannot necessarily be generalized to informal contexts. The common use of convenience samples like these is likely a result of our interest in targeting young audiences, who are frequently studied in student groups rather than as true probabilistic samples.

Future research on this topic should investigate the generalizability of research on a specific social media platform, topics, or demographic to others. Future research should also measure social media impacts in real conditions and the longitudinal impacts of social-media-based science communication.

6 Conclusion

This scoping review provides a bird’s-eye view of a wide range of cognitive, attitudinal, and behavioral impacts of social-media-based science communication on youth. Together, these studies demonstrate that there are promising opportunities inherent in social media platforms for connecting scientists with young audiences and creating a palpable impact on social media users. This review also supports the growing body of evidence demonstrating that the familiarity, accessibility, and casualness of social media platforms make them effective media for those in science communication aspiring to reach a large range of audiences. The results align with the Contextual Model of communication as they emphasize that there are increased positive impacts from social-media-based science communication aligned with users’ perceptions of scientists’ political orientations, appeals to emotions, and personal relevance of posts [Brossard & Lewenstein, 2009].

When posting science content on social media, science communicators should be mindful to use strategies that have been proven to be effective, and pay special attention to tailoring content for specific audiences, platforms, and subjects. More specifically, science communicators should make content that is audience-relevant, appeals to emotions, visually aesthetic, and encourages interaction. They should also use platforms and sources that are familiar to their audiences and appear reliable to them. The common focus in studies to date on a certain age range (25+), platforms (Facebook, Twitter, and YouTube), visualization types (text and photo), female users, and geographic locations (U.S. and Germany) points to gaps in research on social-media-based science communication. As younger age groups continue to engage with social media, new platforms emerge, online audiences evolve, and new scientific topics become relevant, future research should consider diversifying its focus accordingly.

References

Agley, J., Xiao, Y., Thompson, E. E., & Golzarri-Arroyo, L. (2023). Using normative language when describing scientific findings: randomized controlled trial of effects on trust and credibility. Journal of Medical Internet Research, 25, e45482. https://doi.org/10.2196/45482

Ali, K., Zain-ul-abdin, K., Li, C., Johns, L., Ali, A. A., & Carcioppolo, N. (2019). Viruses going viral: impact of fear-arousing sensationalist social media messages on user engagement. Science Communication, 41(3), 314–338. https://doi.org/10.1177/1075547019846124

Anderson, J. T. L., Howell, E. L., Xenos, M. A., Scheufele, D. A., & Brossard, D. (2021). Learning without seeking?: incidental exposure to science news on social media & knowledge of gene editing. JCOM, 20(04), A01. https://doi.org/10.22323/2.20040201

Arksey, H., & O’Malley, L. (2005). Scoping studies: towards a methodological framework. International Journal of Social Research Methodology, 8(1), 19–32. https://doi.org/10.1080/1364557032000119616

Belova, N., & Krause, M. (2023). Inoculating students against science-based manipulation strategies in social media: debunking the concept of ‘water with conductivity extract’. Chemistry Education Research and Practice, 24(1), 192–202. https://doi.org/10.1039/d2rp00191h

Belova, N., Krause, M., & Siemens, C. (2022). Students’ strategies when dealing with science-based information in social media — a group discussion study. Education Sciences, 12(9), 603. https://doi.org/10.3390/educsci12090603

Bergman, J. N., Buxton, R. T., Lin, H.-Y., Lenda, M., Attinello, K., Hajdasz, A. C., Rivest, S. A., Tran Nguyen, T., Cooke, S. J., & Bennett, J. R. (2022). Evaluating the benefits and risks of social media for wildlife conservation. FACETS, 7, 360–397. https://doi.org/10.1139/facets-2021-0112

Bermudez-Garcia, J. M. (2022). @thermogramer: thermal imaging as a tool for science communication and e-learning in social media. Sustainability, 14(5), 3096. https://doi.org/10.3390/su14053096

Bik, H. M., Dove, A. D. M., Goldstein, M. C., Helm, R. R., MacPherson, R., Martini, K., Warneke, A., & McClain, C. (2015). Ten simple rules for effective online outreach. PLoS Computational Biology, 11(4), e1003906. https://doi.org/10.1371/journal.pcbi.1003906

Bode, L., Vraga, E. K., & Tully, M. (2021). Correcting misperceptions about genetically modified food on social media: examining the impact of experts, social media heuristics, and the gateway belief model. Science Communication, 43(2), 225–251. https://doi.org/10.1177/1075547020981375

Bonsaksen, T., Thygesen, H., Leung, J., Lamph, G., Kabelenga, I., & Østertun Geirdal, A. (2024). Patterns of social media use across age groups during the COVID-19 pandemic: a study across four countries. Social Sciences, 13(4), 194. https://doi.org/10.3390/socsci13040194

Brossard, D., & Lewenstein, B. V. (2009). A critical appraisal of models of public understanding of science: using practice to inform theory. In L. Kahlor & P. Stout (Eds.), Communicating science: new agendas in communication (pp. 11–39). Routledge. https://doi.org/10.4324/9780203867631

Brossard, D., & Scheufele, D. A. (2013). Science, new media, and the public. Science, 339(6115), 40–41. https://doi.org/10.1126/science.1232329

Bubela, T., Nisbet, M. C., Borchelt, R., Brunger, F., Critchley, C., Einsiedel, E., Geller, G., Gupta, A., Hampel, J., Hyde-Lay, R., Jandciu, E. W., Jones, S. A., Kolopack, P., Lane, S., Lougheed, T., Nerlich, B., Ogbogu, U., O’Riordan, K., Ouellette, C., … Caulfield, T. (2009). Science communication reconsidered. Nature Biotechnology, 27(6), 514–518. https://doi.org/10.1038/nbt0609-514

Cacciatore, M. A., Scheufele, D. A., & Corley, E. A. (2014). Another (methodological) look at knowledge gaps and the Internet’s potential for closing them. Public Understanding of Science, 23(4), 376–394. https://doi.org/10.1177/0963662512447606

Cacciatore, M. A., Yeo, S. K., Su, L. Y.-F., McKasy, M., O’Neill, L., & Qian, S. (2024). “That’s some positive energy”: how social media users respond to #funny science content. JCOM, 23(01), A02. https://doi.org/10.22323/2.23010202

Calmbach, M., Flaig, B., Gaber, R., Gensheimer, T., Möller-Slawinski, H., Schleer, C., & Wisniewski, N. (2024). SINUS Youth Study 2024 [Vol. 11133]. Bundeszentrale fur politische Bildung.

Chapman, J. M., Algera, D., Dick, M., Hawkins, E. E., Lawrence, M. J., Lennox, R. J., Rous, A. M., Souliere, C. M., Stemberger, H. L. J., Struthers, D. P., Vu, M., Ward, T. D., Zolderdo, A. J., & Cooke, S. J. (2015). Being relevant: practical guidance for early career researchers interested in solving conservation problems. Global Ecology and Conservation, 4, 334–348. https://doi.org/10.1016/j.gecco.2015.07.013

Cinelli, M., De Francisci Morales, G., Galeazzi, A., Quattrociocchi, W., & Starnini, M. (2021). The echo chamber effect on social media. Proceedings of the National Academy of Sciences, 118(9), e2023301118. https://doi.org/10.1073/pnas.2023301118

Comfort, S. E., & Park, Y. E. (2018). On the field of environmental communication: a systematic review of the peer-reviewed literature. Environmental Communication, 12(7), 862–875. https://doi.org/10.1080/17524032.2018.1514315

Dixon, S. J. (2025a, March 13). Gender distribution of social media audiences worldwide 2025, by platform. Statista. https://www.statista.com/statistics/274828/gender-distribution-of-active-social-media-users-worldwide-by-platform/

Dixon, S. J. (2025b, June 19). Facebook: distribution of global audiences 2025, by age and gender. Statista. https://www.statista.com/statistics/376128/facebook-global-user-age-distribution/

Dixon, S. J. (2025c, June 19). X/Twitter: distribution of global audiences 2025, by age and gender. Statista. https://www.statista.com/statistics/1498204/distribution-of-users-on-twitter-worldwide-age-and-gender/

Dohn, N. B., & Dohn, N. B. (2017). Integrating Facebook in upper secondary biology instruction: a case study of students’ situational interest and participation in learning communication. Research in Science Education, 47(6), 1305–1329. https://doi.org/10.1007/s11165-016-9549-3

Dubovi, I., & Tabak, I. (2021). Interactions between emotional and cognitive engagement with science on YouTube. Public Understanding of Science, 30(6), 759–776. https://doi.org/10.1177/0963662521990848

Dudo, A., Brossard, D., Shanahan, J., Scheufele, D. A., Morgan, M., & Signorielli, N. (2011). Science on television in the 21st century: recent trends in portrayals and their contributions to public attitudes toward science. Communication Research, 38(6), 754–777. https://doi.org/10.1177/0093650210384988

Elo, S., & Kyngäs, H. (2008). The qualitative content analysis process. Journal of Advanced Nursing, 62(1), 107–115. https://doi.org/10.1111/j.1365-2648.2007.04569.x

Feng, G. C., Zhang, Y., & Lin, Z. (2019). A meta-analysis of the effects of sociodemographic factors on social media adoption. International Journal of Communication, 13, 1996–2025. https://ijoc.org/index.php/ijoc/article/view/10088

Finkler, W., Higham, J. E. S., León, B., & Aitken, R. (2019). Bridging the void: science communication videos for sustainable whale watching. International Journal of Science Education, Part B, 9(4), 312–326. https://doi.org/10.1080/21548455.2019.1671636

Fischer, H. A., Bernard, M. L., Kemppinen, K., & Gerber, L. R. (2023). Conservation awareness through social media. Journal of Environmental Studies and Sciences, 13(1), 23–30. https://doi.org/10.1007/s13412-022-00795-5

Fortner, A. R., Lamm, A. J., Borron, A., Holt, J., & Moore, A. J. (2022). Exploring source credibility when communicating about agricultural science on Twitter. Journal of Applied Communications, 106(3), 4. https://doi.org/10.4148/1051-0834.2436

Gierth, L., & Bromme, R. (2020). Attacking science on social media: how user comments affect perceived trustworthiness and credibility. Public Understanding of Science, 29(2), 230–247. https://doi.org/10.1177/0963662519889275

Gopalkrishnan, S., & Galande, S. (2021). Scientific temper and nehruvian influence: how the millennials are handling the mythologization of science in India. Cultural Studies of Science Education, 16(1), 231–249. https://doi.org/10.1007/s11422-020-10001-z

Gottfried, J. (2024). Americans’ social media use. Pew Research Center. https://www.pewresearch.org/internet/2024/01/31/americans-social-media-use/

Graneheim, U. H., & Lundman, B. (2004). Qualitative content analysis in nursing research: concepts, procedures and measures to achieve trustworthiness. Nurse Education Today, 24(2), 105–112. https://doi.org/10.1016/j.nedt.2003.10.001

Greenhow, C., & Lewin, C. (2016). Social media and education: reconceptualizing the boundaries of formal and informal learning. Learning, Media and Technology, 41(1), 6–30. https://doi.org/10.1080/17439884.2015.1064954

Hargittai, E., Füchslin, T., & Schäfer, M. S. (2018). How do young adults engage with science and research on social media? Some preliminary findings and an agenda for future research. Social Media + Society, 4(3). https://doi.org/10.1177/2056305118797720

Holliman, R. (2010). From analogue to digital scholarship: implications for science communication researchers. JCOM, 09(03), C05. https://doi.org/10.22323/2.09030305

Huber, B., Barnidge, M., Gil de Zúñiga, H., & Liu, J. (2019). Fostering public trust in science: the role of social media. Public Understanding of Science, 28(7), 759–777. https://doi.org/10.1177/0963662519869097

Huber, F., Jäger, B., Pllana, S., Hrdlicka, Z., Mettouris, C., Papadopoulos, G. A., Matevc, T., Ocsovszky, Z., Hajdu, E., Gary, C., & Smith, P. (2017). Pushing STEM-education through a social-media-based contest format — experiences and lessons-learned from the H2020-project SciChallenge. arXiv. https://doi.org/10.48550/arXiv.1702.02874

Hwang, S., Horvát, E.-Á., & Romero, D. M. (2023). Information retention in the multi-platform sharing of science. Proceedings of the International AAAI Conference on Web and Social Media, 17(1), 375–386. https://doi.org/10.1609/icwsm.v17i1.22153

Irwanto, I., Bahfiarti, T., Unde, A. A., & Sonni, A. F. (2025). Information disorder’s impact on adolescents: publication trends and recommendations. Frontiers in Communication, 10, 1495536. https://doi.org/10.3389/fcomm.2025.1495536

Ishmuradova, A. M., Svintsova, M. N., Kondakchian, N. A., Zaitseva, N. A., Sokolova, N. L., & Khairullina, E. R. (2023). A bibliometric overview of science communication research in STEM education. Online Journal of Communication and Media Technologies, 13(4), e202341. https://doi.org/10.30935/ojcmt/13415

James, K. J., Albrecht, J. A., Litchfield, R. E., & Weishaar, C. A. (2013). A summative evaluation of a food safety social marketing campaign “4-Day Throw-Away” using traditional and social media. Journal of Food Science Education, 12(3), 48–55. https://doi.org/10.1111/1541-4329.12010

Jarreau, P. (n.d.). I’m a scientist and I want to use social media. Now what? Wiley. Retrieved March 23, 2025, from https://www.wiley.com/en-us/network/publishing/research-publishing/forward-series/im-a-scientist-and-i-want-to-use-social-media-now-what

Kemp, S. (2025). Digital 2025: Global Overview Report. DataReportal. https://datareportal.com/reports/digital-2025-global-overview-report

Khan, M. L. (2017). Social media engagement: what motivates user participation and consumption on YouTube? Computers in Human Behavior, 66, 236–247. https://doi.org/10.1016/j.chb.2016.09.024

Kibiswa, N. K. (2019). Directed qualitative content analysis (DQlCA): a tool for conflict analysis. The Qualitative Report, 24(8), 2059–2079. https://doi.org/10.46743/2160-3715/2019.3778

Kim, N., Skurka, C., & Madden, S. (2024). The effects of self-disclosure and gender on a climate scientist’s credibility and likability on social media. Public Understanding of Science, 33(6), 692–708. https://doi.org/10.1177/09636625231225073

König, L., & Breves, P. (2021). Providing health information via Twitter: professional background and message style influence source trustworthiness, message credibility and behavioral intentions. JCOM, 20(04), A04. https://doi.org/10.22323/2.20040204

Kresin, S., Kremer, K., & Büssing, A. G. (2024). Students’ credibility criteria for evaluating scientific information: the case of climate change on social media. Science Education, 108(3), 762–791. https://doi.org/10.1002/sce.21855

Kulgemeyer, C., Hörnlein, M., & Sterzing, F. (2022). Exploring the effects of physics explainer videos and written explanations on declarative knowledge and the illusion of understanding. International Journal of Science Education, 44(11), 1855–1875. https://doi.org/10.1080/09500693.2022.2100507

Landis, J. R., & Koch, G. G. (1977). The measurement of observer agreement for categorical data. Biometrics, 33(1), 159–174. https://doi.org/10.2307/2529310

Lessard, B. D., Whiffin, A. L., & Wild, A. L. (2017). A guide to public engagement for entomological collections and natural history museums in the age of social media. Annals of the Entomological Society of America, 110(5), 467–479. https://doi.org/10.1093/aesa/sax058

Lundgaard, D., Nielsen, K. S., Harjani, T., Roozenbeek, J., Hofmann, W., van der Linden, S., He, J. K., & Nicholas, K. A. (2024). Public and scientific climate action messaging on Twitter. OSF Preprints. https://doi.org/10.31219/osf.io/hkqs2

Lundgren, L., Crippen, K. J., & Bex, R. T. (2022). Social media interaction as informal science learning: a comparison of message design in two niches. Research in Science Education, 52(1), 1–20. https://doi.org/10.1007/s11165-019-09911-y

Martin, C., & MacDonald, B. H. (2020). Using interpersonal communication strategies to encourage science conversations on social media. PLoS ONE, 15(11), e0241972. https://doi.org/10.1371/journal.pone.0241972

Maryville University. (2020, May 28). The evolution of social media: how did it begin, and where could it go next? https://online.maryville.edu/blog/evolution-social-media/#launch

Massarani, L., Bray, H., Joubert, M., Ridgway, A., Roche, J., Smyth, F., Stevenson, E., van Dam, F., & de Abreu, W. V. (2023). The distribution of science communication teaching around the globe. JCOM, 22(06), A05. https://doi.org/10.22323/2.22060205

Michalovich, A., & Hershkovitz, A. (2020). Assessing YouTube science news’ credibility: the impact of web-search on the role of video, source, and user attributes. Public Understanding of Science, 29(4), 376–391. https://doi.org/10.1177/0963662520905466

Mou, Y., & Lin, C. A. (2014). Communicating food safety via the social media: the role of knowledge and emotions on risk perception and prevention. Science Communication, 36(5), 593–616. https://doi.org/10.1177/1075547014549480

Mueller-Herbst, J. M., Xenos, M. A., Scheufele, D. A., & Brossard, D. (2020). Saw it on Facebook: the role of social media in facilitating science issue awareness. Social Media + Society, 6(2). https://doi.org/10.1177/2056305120930412

Ningtyas, P. K., Widarti, H. R., & Parlan, P. (2024). Exploring the use of social media in science learning environments: a systematic literature review. Journal of Science Learning, 7(2), 178–186. https://doi.org/10.17509/jsl.v7i2.67071

Oh, J., Zhuo, S., & Jin, E. (2023). Surprise of serious COVID-19 vaccination messages on TikTok: the effect of expectancy violation on message effectiveness. Science Communication, 45(5), 596–626. https://doi.org/10.1177/10755470231198213

Pearce, W., Özkula, S. M., Greene, A. K., Teeling, L., Bansard, J. S., Omena, J. J., & Rabello, E. T. (2020). Visual cross-platform analysis: digital methods to research social media images. Information, Communication & Society, 23(2), 161–180. https://doi.org/10.1080/1369118x.2018.1486871

Rap, S., & Blonder, R. (2016). Let’s Face(book) it: analyzing interactions in social network groups for chemistry learning. Journal of Science Education and Technology, 25(1), 62–76. https://doi.org/10.1007/s10956-015-9577-1

Rasekoala, E. (2022). Responsible science communication in Africa: rethinking drivers of policy, Afrocentricity and public engagement. JCOM, 21(04), C01. https://doi.org/10.22323/2.21040301

Rothwell, J. (2023). Teens spend average of 4.8 hours on social media per day. Gallup. https://news.gallup.com/poll/512576/teens-spend-average-hours-social-media-per-day.aspx

Ruzi, S. A., Lee, N. M., & Smith, A. A. (2021). Testing how different narrative perspectives achieve communication objectives and goals in online natural science videos. PLoS ONE, 16(10), e0257866. https://doi.org/10.1371/journal.pone.0257866

Schreiner, M., Fischer, T., & Riedl, R. (2021). Impact of content characteristics and emotion on behavioral engagement in social media: literature review and research agenda. Electronic Commerce Research, 21(2), 329–345. https://doi.org/10.1007/s10660-019-09353-8

Schug, M., Bilandzic, H., & Kinnebrock, S. (2024). Public perceptions of trustworthiness and authenticity towards scientists in controversial scientific fields. JCOM, 23(09), A03. https://doi.org/10.22323/2.23090203

Serpagli, L. P., & Mensah, F. M. (2021). Keeping up with the digital natives: using social media in an all-girls science classroom. School Science and Mathematics, 121(5), 288–298. https://doi.org/10.1111/ssm.12471

Shriver-Rice, M., Fernandes, J., Johns, L. N., Riopelle, C., & Vaughan, H. (2022). Young adults’ reactions and engagement with short-form videos on sea level rise. Environmental Communication, 16(1), 63–78. https://doi.org/10.1080/17524032.2021.1963800

Smith, C. N., & Seitz, H. H. (2019). Correcting misinformation about neuroscience via social media. Science Communication, 41(6), 790–819. https://doi.org/10.1177/1075547019890073

Social media: good or evil? (2022). Science, 375(6581), 608–609. https://doi.org/10.1126/science.abo2409

Stamer, I., David, M. A., Höffler, T., Schwarzer, S., & Parchmann, I. (2021). Authentic insights into science: scientific videos used in out-of-school learning environments. International Journal of Science Education, 43(6), 868–887. https://doi.org/10.1080/09500693.2021.1891321

Su, L. Y.-F., Akin, H., Brossard, D., Scheufele, D. A., & Xenos, M. A. (2015). Science news consumption patterns and their implications for public understanding of science. Journalism & Mass Communication Quarterly, 92(3), 597–616. https://doi.org/10.1177/1077699015586415

Tricco, A. C., Lillie, E., Zarin, W., O’Brien, K. K., Colquhoun, H., Levac, D., Moher, D., Peters, M. D. J., Horsley, T., Weeks, L., Hempel, S., Akl, E. A., Chang, C., McGowan, J., Stewart, L., Hartling, L., Aldcroft, A., Wilson, M. G., Garritty, C., … Straus, S. E. (2018). PRISMA extension for scoping reviews (PRISMA-ScR): checklist and explanation. Annals of Internal Medicine, 169(7), 467–473. https://doi.org/10.7326/m18-0850

Tyson, A., & Kennedy, B. (2024). Public trust in scientists and views on their role in policymaking. Pew Research Center. https://www.pewresearch.org/science/2024/11/14/public-trust-in-scientists-and-views-on-their-role-in-policymaking/

Volk, S. C. (2024). Assessing the outputs, outcomes, and impacts of science communication: a quantitative content analysis of 128 science communication projects. Science Communication, 46(6), 758–789. https://doi.org/10.1177/10755470241253858

Wang, N., Clowdus, Z., Sealander, A., & Stern, R. (2022). Geonews: timely geoscience educational YouTube videos about recent geologic events. Geoscience Communication, 5(2), 125–142. https://doi.org/10.5194/gc-2021-38

Wang, S. Y. N., Phillips, S. C., Carley, K. M., Lin, H., & Pennycook, G. (2024). Limited effectiveness of psychological inoculation against misinformation in a social media feed. PsyArXiv. https://doi.org/10.31234/osf.io/uxp85

Weingart, P., & Guenther, L. (2016). Science communication and the issue of trust. JCOM, 15(05), C01. https://doi.org/10.22323/2.15050301

West, J. D., & Bergstrom, C. T. (2021). Misinformation in and about science. Proceedings of the National Academy of Sciences, 118(15), e1912444117. https://doi.org/10.1073/pnas.1912444117

Wiley. (2024). State of social media for researchers 2024. https://www.wiley.com/en-us/network/trending-stories/state-of-social-media-for-researchers-2024

Xu, Q., Yu, N., & Song, Y. (2018). User engagement in public discourse on genetically modified organisms: the role of opinion leaders on social media. Science Communication, 40(6), 691–717. https://doi.org/10.1177/1075547018806526

Yeo, S. K., Cacciatore, M. A., Su, L. Y.-F., McKasy, M., & O’Neill, L. (2021). Following science on social media: the effects of humor and source likability. Public Understanding of Science, 30(5), 552–569. https://doi.org/10.1177/0963662520986942

Yeo, S. K., Su, L. Y.-F., Cacciatore, M. A., McKasy, M., & Qian, S. (2020). Predicting intentions to engage with scientific messages on Twitter: the roles of mirth and need for humor. Science Communication, 42(4), 481–507. https://doi.org/10.1177/1075547020942512

Yeo, S. K., Su, L. Y.-F., Cacciatore, M. A., Zhang, J. S., & McKasy, M. (2023). The differential effects of humor on three scientific issues: global warming, artificial intelligence, and microbiomes. International Journal of Science Education, Part B, 13(1), 59–83. https://doi.org/10.1080/21548455.2022.2123259

Yuan, S., & Lu, H. (2022). Examining a conceptual framework of aggressive and humorous styles in science YouTube videos about climate change and vaccination. Public Understanding of Science, 31(7), 921–939. https://doi.org/10.1177/09636625221091490

Zhang, A. L., & Lu, H. (2022). No laughing matter: exploring the effects of scientists’ humor use on Twitter and the moderating role of superiority. Science Communication, 44(4), 418–445. https://doi.org/10.1177/10755470221114352

Ziyada, M., & Shamoi, P. (2024). Video popularity in social media: impact of emotions, raw features and viewer comments. 2024 Joint 13th International Conference on Soft Computing and Intelligent Systems and 25th International Symposium on Advanced Intelligent Systems (SCIS&ISIS), 1–7. https://doi.org/10.1109/scisisis61014.2024.10759978

About the authors

Jordana Portman is a Ph.D. candidate at the Technion — Israel Institute of Technology. Her research focuses on the future of science communication, specifically its implementation on social media. Her background is in marine biology and ecology, and she is especially interested in marine science communication for young audiences.

E-mail: jordanap@campus.technion.ac.il

Victoria Yael Miara is a Ph.D. candidate at the Technion — Israel Institute of Technology. Her research focuses on science communication with policymakers, particularly focusing on environmental policy. Her background is in agriculture and ecology, and she is especially interested in how diverse audiences engage with socio-environmental issues including climate change, biodiversity loss, and pollution.

E-mail: victoria.m@campus.technion.ac.il

Ayelet Baram-Tsabari is a professor of science education and communication at the Faculty of Education in Science and Technology at the Technion — Israel Institute of Technology. Her research program focuses on the relevance of science education to public engagement with science and on training scientists for effective science communication.

E-mail: ayelet@technion.ac.il

Supplementary material

Available at https://doi.org/10.22323/145420250918092124
Appendix A: List of articles included in final analysis
Appendix B: Demographic information reported about the audiences or samples in the articles analyzed
Appendix C: Summary of the results